+ Cuánto dinero podrían recibir Trenque Lauquen y distritos de la región por el Fondo de Fortalecimiento Fiscal +
La aprobación de la Legislatura bonaerense para que el Poder Ejecutivo de la provincia de Buenos Aires contrajera para 2026 una deuda superior a los 3.000 millones de dólares fue producto de una negociación política que, como contrapartida, derivó en la concesión a los municipios de un Fondo de Emergencia y Fortalecimiento de la Inversión Municipal para los ejercicios 2026 y 2027.
Ese fondo está destinado a asistir financieramente a los municipios ante atrasos de tesorería y a financiar proyectos sociales, ambientales y de inversión y se integrará con el 8% de los recursos que surjan de las operaciones de financiamiento autorizadas por ley, contando con una garantía mínima de $350 mil millones en caso de que ese porcentaje resulte insuficiente.
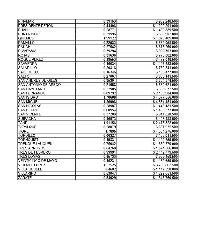
Los giros se realizarán de manera automática en cinco cuotas: tres en 2026 (abril, agosto y noviembre) y dos en 2027 (abril y junio): 70% se distribuirá entre los municipios según el Coeficiente Único de Distribución (CUD) dado a conocer ayer y 30% será para programas provinciales con impacto local -controlado por una Comisión Bilateral-.
Si se tiene en cuenta que el 70% a distribuir por el Poder Ejecutivo será a través del Coeficiente Único de Distribución (CUD) y que conformaría un monto de 245.000 millones de dólares, Trenque Lauquen podría recibir: 1.860.579.000 pesos.
▶ Los distritos de la región:
☑ Trenque Lauquen: $ 1.860.579.000.
☑ Pehuajó: $ 1.816.038.000
☑ Gral. Villegas: $ 1.624.880.000
☑ Lincoln: $ 1.478.379.000
☑ Carlos Casares: $ 1.285.441.500
☑ Daireaux: $ 1.074.815.000
☑ Rivadavia: $ 962.703.000
☑ Nueve de Julio: $ 865.830.000
☑ Guaminí: $ 833.563.000
☑ Carlos Tejedor: $ 717.948.000
☑ Salliqueló: $ 400.477.000.
☑ Pellegrini: $ 388.692.500
☑ Tres Lomas: $ 385.458.500.
Fuente: La Tecla – MiTrenque


